题目大意
CF2169C Range Operation
题目描述
给定一个长度为 n 的整数数组 a。
你可以进行以下操作:选择一个区间 [l,r](1≤l≤r≤n),并将区间内的元素 al,al+1,…,ar 全部替换为 l+r。
你的任务是计算,在最多允许进行一次上述操作的情况下,数组的和可能达到的最大值。
输入格式
第一行包含一个整数 t(1≤t≤104),表示测试用例的数量。
每个测试用例的第一行包含一个整数 n(1≤n≤2⋅105)。
第二行包含 n 个整数 a1,a2,…,an(0≤ai≤2n)。
输入额外限制:所有测试用例中 n 的总和不超过 2⋅105。
输出格式
对于每个测试用例,输出一个整数,表示在至多进行一次操作后数组的最大和。
输入输出样例 #1
输入 #1
1 2 3 4 5 6 7 8 9 10
| 4 3 2 5 1 2 4 4 4 1 3 2 1 5 3 2 0 9 10
|
输出 #1
说明/提示
在第一个样例中,可以对子数组 [3,3] 执行操作,得到数组 [2,5,6],其和为 13。
在第二个样例中,不需进行任何操作。
在第三个样例中,可以对子数组 [1,4] 执行操作,得到数组 [5,5,5,5],其和为 20。
在第四个样例中,可以对子数组 [2,3] 执行操作,得到数组 [3,5,5,9,10],其和为 32。
由 ChatGPT 5 翻译
思路讲解
类似于求解最大字段和的 dp。
思路参考了 starsilk 的代码。
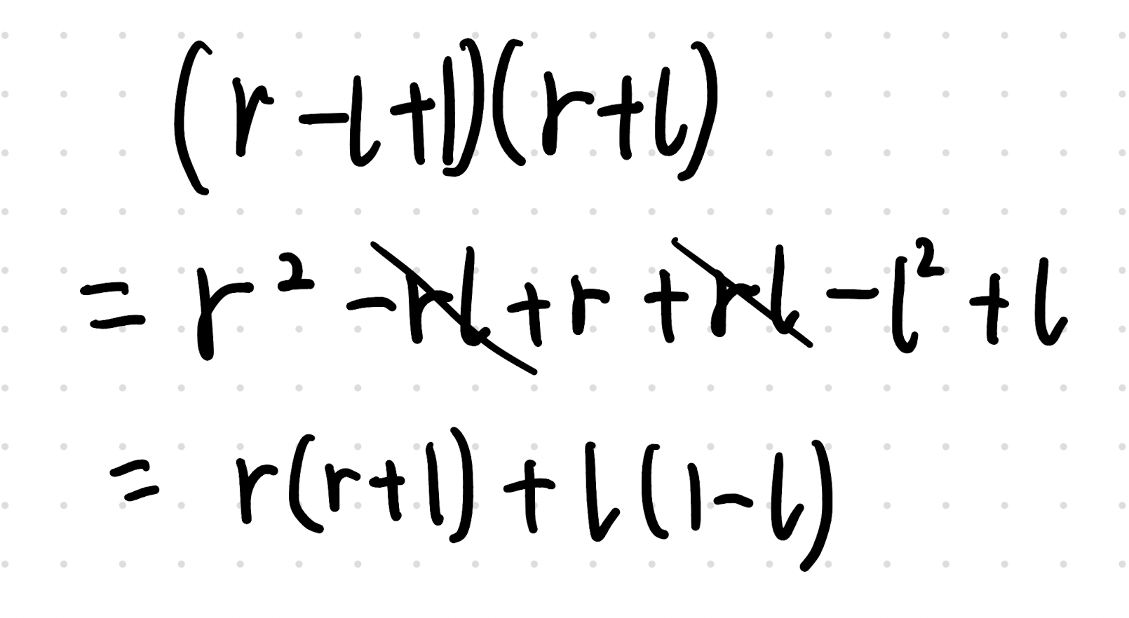
首先,我们必须要把 r,l 两者分开。

我们就会发现,总答案就可以写为:(Sx 表示 x 的前缀和)
ans=Sl−1+l(1−l)+Sn−Sr+r(r+1)
这个明显可以使用这个 dp,因为我们只需要最优化 Sl−1+l(1−l) 这个值,就直接最优化了左端点。而右端点的转移,一旦不用考虑这个左端点是不是最优的,就容易多了。
那我们定义,dpi,0 为前缀和(操作前),dpi,1 表示从 i 及之前开始转化的最大化 Sl−1+l(1−l) 值(可以理解为操作中,但是不严谨),dpi,2 表示 i 以及之前转化结束,所能达到的最大和(操作后)。
之所以定义三个状态,而不是两个,是为了避免重复操作。
dpi,0=dpi−1,0+aidpi,1=max(dpi−1,1,dpi−1,0+i(1−i))dpi,2=max(dpi−1,2+ai,dpi,1+i(i+1))
这个状态转移式子中 dpi,2 之所以有两个来源,就是其状态定义,在 i 之前转化结束一个来源,在 i 结束一个来源。
i 定义为这个长整型,小心溢出。
1 2 3 4 5 6 7 8 9
| for (ll i=1;i<=N;++i) { dp[i][0]=dp[i-1][0]+A[i]; dp[i][1]=max(dp[i-1][1],dp[i-1][0]+i*(1-i)); dp[i][2]=max(dp[i-1][2]+A[i],dp[i][1]+i*(i+1)); } cout<<max(dp[N][0],dp[N][2])<<"\n";
|
AC代码
AC
https://codeforces.com/contest/2169/submission/360407408
源代码
1 2 3 4 5 6 7 8 9 10 11 12 13 14 15 16 17 18 19 20 21 22 23 24 25 26 27 28 29 30 31 32 33 34 35 36 37 38 39 40 41 42 43 44 45 46 47 48 49 50 51 52 53 54 55 56 57 58 59 60 61 62 63 64 65 66 67 68 69 70 71 72 73 74 75 76 77 78 79 80 81 82 83 84 85 86 87 88 89 90 91 92 93 94 95 96 97 98 99 100 101 102 103 104 105 106 107 108 109 110 111 112 113 114
|
#include <iostream> #include <numeric> #include <algorithm> #include <complex> #include <map> #include <ranges> #include <cstring> #include <string> #include <deque> #include <queue> #include <vector> #include <set> #include <cmath> #include <bitset> #include <iterator> #include <random> #include <iomanip> #define all(vec) vec.begin(),vec.end() #define lson(o) (o<<1) #define rson(o) (o<<1|1) #define SZ(a) ((long long) a.size()) #define debug(var) cerr << #var <<":"<<var<<"\n"; #define cend cerr<<"\n-----------\n" #define fsp(x) fixed<<setprecision(x)
using namespace std;
using ll = long long; using ull = unsigned long long; using DB = double; using LD = long double;
using CD = complex<double>;
static constexpr ll MAXN = (ll)1e6+10, INF = (1ll<<61)-1; static constexpr ll mod = 998244353; static constexpr double eps = 1e-8; const double pi = acos(-1.0);
ll lT;
void Solve() { ll N; cin >> N; vector<ll> A(N+2); for (int i=1;i<=N;++i) { cin>>A[i]; } vector<vector<ll>> dp(N+2,vector<ll>(3)); for (ll i=1;i<=N;++i) { dp[i][0]=dp[i-1][0]+A[i]; dp[i][1]=max(dp[i-1][1],dp[i-1][0]+i*(1-i)); dp[i][2]=max(dp[i-1][2]+A[i],dp[i][1]+i*(i+1)); } cout<<max(dp[N][0],dp[N][2])<<"\n"; }
signed main() { ios::sync_with_stdio(false); cin.tie(nullptr); cout.tie(nullptr); cin >> lT; while(lT--) Solve(); return 0; }
|
心路历程(WA,TLE,MLE……)