题目大意
题目名称: Stone Steps
题目描述:
给定一个仅包含非零十进制数字的字符串 s(长度 1≤∣s∣≤5×105)。
对于任意不包含数字 0 的正整数 n,定义 H(n) 为将 n 的所有数位按非降序(从小到大)重新排序后得到的新整数。例如:H(1971)=1179,H(3)=3。
你的任务是计算字符串 s 的所有非空连续子串所代表的十进制整数的 H 函数值之和。即对于所有满足 1≤i≤j≤∣s∣ 的子串 s[i...j],求出 H(s[i...j]) 并求和。最终的结果需要对 1000696967 取模后输出。
输入格式:
单行输入一个字符串 s。
输出格式:
输出一个整数,表示所有非空连续子串的 H 函数值之和对 1000696967 取模的结果。
样例 1:
样例 1 解释:
当 s 为 3141 时,共有 10 个非空连续子串,计算过程如下:
-
s[1...1] 为 3,H(3)=3
-
s[2...2] 为 1,H(1)=1
-
s[3...3] 为 4,H(4)=4
-
s[4...4] 为 1,H(1)=1
-
s[1...2] 为 31,H(31)=13
-
s[2...3] 为 14,H(14)=14
-
s[3...4] 为 41,H(41)=14
-
s[1...3] 为 314,H(314)=134
-
s[2...4] 为 141,H(141)=114
-
s[1...4] 为 3141,H(3141)=1134
将其相加得:3+1+4+1+13+14+14+134+114+1134=1432。
样例 2:
样例 3:
1 2 3 4 5
| 输入: 11234567891234567891
输出: 43138332
|
思路讲解
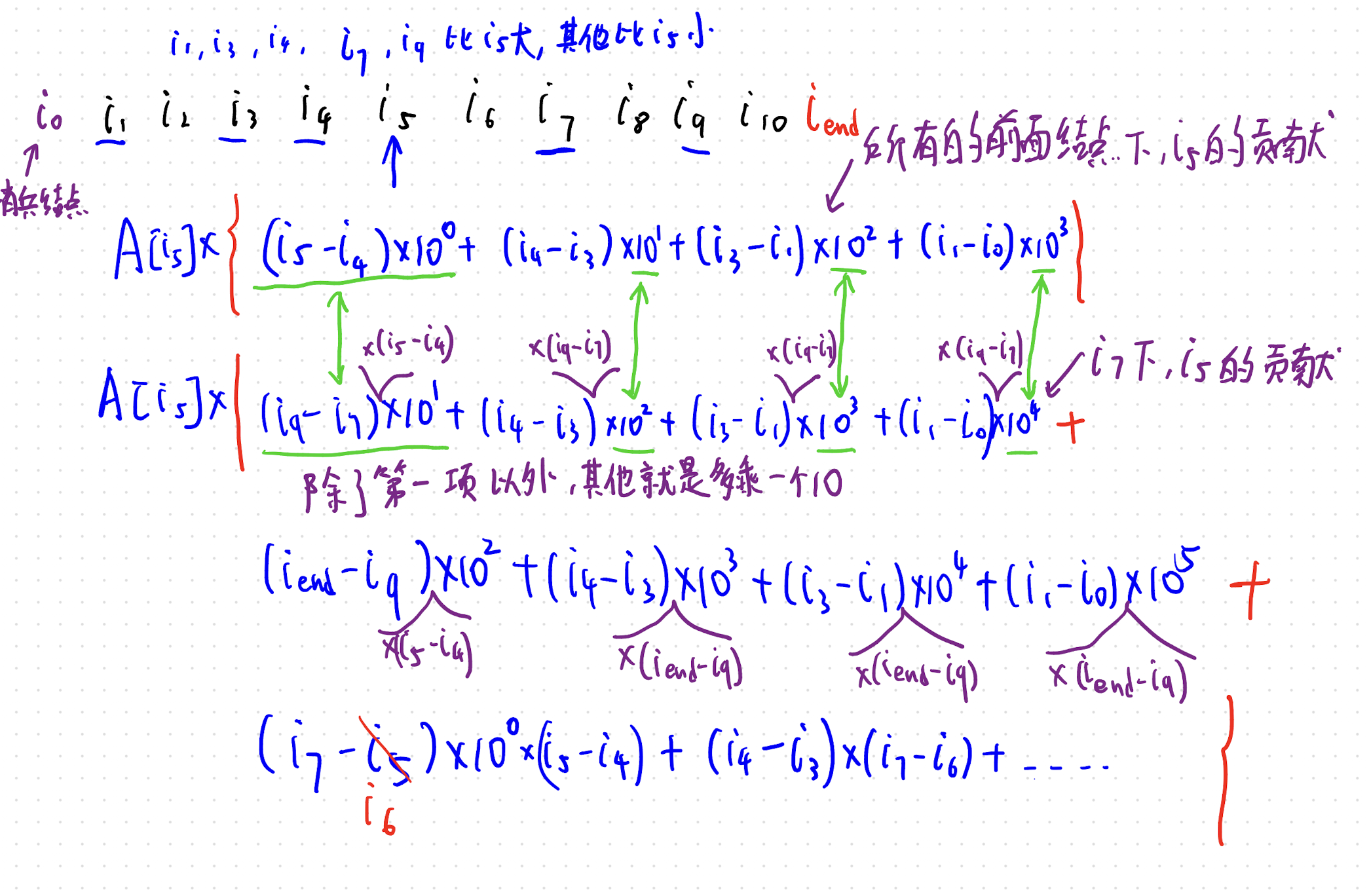
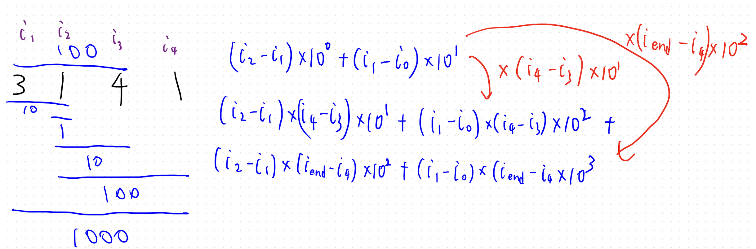
还是要使用拆分算贡献的思想。
我们还需要利用一个东西,就是数位,其实只有 9 个,所以我们不用想着一次遍历去解决,可以遍历 9 次。
不过,我认为最有用的,还是把这个所有的东西,贡献,全部写下来。然后看看有什么规律。全部都写下来以后,我们发现这个规律非常的简单。

然后就跟着上面的这个公式求就完了。
以样例一具体而言就是:

推这种式子就是要细心。
AC代码
AC
https://codeforces.com/gym/106262/submission/365694725
源代码
1 2 3 4 5 6 7 8 9 10 11 12 13 14 15 16 17 18 19 20 21 22 23 24 25 26 27 28 29 30 31 32 33 34 35 36 37 38 39 40 41 42 43 44 45 46 47 48 49 50 51 52 53 54 55 56 57 58 59 60 61 62 63 64 65 66 67 68 69 70 71 72 73 74 75 76 77 78 79 80 81 82 83 84 85 86 87 88 89 90 91 92 93 94 95 96 97 98 99 100 101 102 103 104 105 106 107 108 109 110 111 112 113 114 115 116 117 118 119 120 121 122 123 124 125 126 127 128 129 130 131 132 133 134 135 136 137 138 139 140 141 142 143 144 145 146 147 148 149 150 151 152 153 154 155
|
#include <bits/stdc++.h> #define all(vec) vec.begin(),vec.end() #define lson(o) (o<<1) #define rson(o) (o<<1|1) #define SZ(a) ((long long) a.size()) #define debug(var) cerr << #var <<" = ["<<var<<"]"<<"\n"; #define debug1d(a) \ cerr << #a << " = ["; \ for (int i = 0; i < (int)(a).size(); i++) \ cerr << (i ? ", " : "") << a[i]; \ cerr << "]\n"; #define debug2d(a) \ cerr << #a << " = [\n"; \ for (int i = 0; i < (int)(a).size(); i++) \ { \ cerr << " ["; \ for (int j = 0; j < (int)(a[i]).size(); j++) \ cerr << (j ? ", " : "") << a[i][j]; \ cerr << "]\n"; \ } \ cerr << "]\n"; #define cend cerr<<"\n-----------\n" #define fsp(x) fixed<<setprecision(x)
using namespace std;
using ll = long long; using ull = unsigned long long; using DB = double; using i128 = __int128; using CD = complex<double>;
static constexpr ll MAXN = (ll)1e6+10; static constexpr ll mod = 1000696967;
const double pi = acos(-1.0);
ll lT,testcase;
ll pow10[MAXN]; void Solve() { string s; cin>>s; ll N=SZ(s); s.insert(s.begin(),'#'); vector<ll> A(N+2); for (int i=1;i<=N;++i) { A[i]=s[i]-'0'; } ll ans=0; for (int d=1;d<=9;++d) { vector<ll> suf_sum_diff_gt_d(N+2); vector<ll> suf_pos(N+2); suf_pos[N+1]=N+1; do { vector<ll> i_vec; i_vec.push_back(N+1); for (ll i=N;i>=1;--i) { suf_sum_diff_gt_d[i]=suf_sum_diff_gt_d[i+1]; suf_pos[i]=suf_pos[i+1]; if (A[i]>=d) { suf_sum_diff_gt_d[i]+=i_vec.back()-i; suf_sum_diff_gt_d[i]*=10; suf_sum_diff_gt_d[i]%=mod; suf_pos[i]=i; i_vec.push_back(i); } } }while (false);
vector<ll> i_pos; i_pos.push_back(0); ll glo_sum=0; for (int i=1;i<=N;++i) { if (A[i]>d) { glo_sum*=10; glo_sum%=mod; glo_sum+=i-i_pos.back(); i_pos.push_back(i); }else if (A[i]==d) { ll sum=glo_sum; sum*=10; sum%=mod; sum+=i-i_pos.back(); ll lsum=A[i]*sum%mod; ll lans=sum*suf_sum_diff_gt_d[i+1]%mod; lans+=sum*(suf_pos[i+1]-(i+1))%mod; lans%=mod; lans*=A[i]; lans%=mod; ans+=lans; ans+=lsum; ans%=mod; ans%=mod; } } } ans%=mod; if (ans<0) { ans+=mod; } cout<<ans<<"\n"; }
signed main() { ios::sync_with_stdio(false); cin.tie(nullptr); cout.tie(nullptr); #ifdef LOCAL cout.setf(ios::unitbuf); #endif pow10[0]=1; for (int i=1;i<=MAXN-5;++i) { pow10[i]=pow10[i-1]*10; pow10[i]%=mod; } Solve(); return 0; }
|
心路历程(WA,TLE,MLE……)
在处理 lans,也就是背后的时候,忘记处理了不含 i7 的情况,即什么都不含,只含 i5 的背后情况。
