题目大意
题目描述
你有一个包含数字 0 0 0 到 9 9 9 的键盘。给定一个正整数 m m m ,你的目标是使用键盘打出一个正整数,使其为 m m m 的倍数。
但是,键盘上有 k k k 个正整数 按键损坏了(数字 0 0 0 的按键一定完好,只有 1 1 1 到 9 9 9 中的部分按键可能损坏)。你只能使用剩下的完好按键来打出这个数字。
输入格式
第一行包含一个整数 T T T (1 ≤ T ≤ 5 × 1 0 4 1 \le T \le 5 \times 10^4 1 ≤ T ≤ 5 × 1 0 4 ),表示测试数据的组数。
对于每组测试数据:
第一行包含两个整数 m m m 和 k k k (1 ≤ m ≤ 1 0 7 1 \le m \le 10^7 1 ≤ m ≤ 1 0 7 ,0 ≤ k ≤ 9 0 \le k \le 9 0 ≤ k ≤ 9 ),表示目标数字必须是 m m m 的倍数,且有 k k k 个按键损坏。
用其他剩余按键,敲出 m 的倍数。
第二行包含 k k k 个互不相同的整数 p i p_i p i (1 ≤ p i ≤ 9 1 \le p_i \le 9 1 ≤ p i ≤ 9 ),具体表示哪些数字按键被损坏。
输出格式
对于每组测试数据:
如果存在合法的构造方案,请以“连续按下某数字 a a a 共 b b b 次”的操作序列形式输出:
第一行输出一个整数 n n n (1 ≤ n ≤ 100 1 \le n \le 100 1 ≤ n ≤ 1 0 0 ),表示操作的数量。
接下来 n n n 行,每行输出两个整数 a a a 和 b b b (0 ≤ a ≤ 9 0 \le a \le 9 0 ≤ a ≤ 9 ,1 ≤ b ≤ 1 0 18 1 \le b \le 10^{18} 1 ≤ b ≤ 1 0 1 8 ),表示按下数字 a a a 共 b b b 次。
如果不存在任何合法的方案,仅输出一行 -1。
样例
1 2 3 4 5 6 7 8 9 10 11 12 输入: 2 37 7 2 3 5 6 7 8 9 7 9 1 2 3 4 5 6 7 8 9 输出: 2 1 3 0 1 -1
样例解释
对于第一组样例,给出的操作为:按下数字 1 1 1 共 3 3 3 次,然后按下数字 3 3 3 共 1 1 1 次。这样按出来的正整数是 1110 1110 1 1 1 0 。由于 1110 = 37 × 30 1110 = 37 \times 30 1 1 1 0 = 3 7 × 3 0 ,它是 37 37 3 7 的倍数,并且只使用了未损坏的按键 1 1 1 和 0 0 0 ,符合题目要求。
对于第二组样例,数字 1 1 1 到 9 9 9 的按键全部损坏,唯一能打出的是由数字 0 0 0 组成的数(值为 0 0 0 )。但题目要求打出的必须是一个正整数 ,因此无法完成任务,输出 -1。
思路讲解
欧拉定理的介绍以及证明
这是 Euler 定理 (欧拉定理)。
内容很简洁:对于任意正整数 m m m 和整数 a a a ,若 gcd ( a , m ) = 1 \gcd(a, m) = 1 g cd( a , m ) = 1 ,则
a φ ( m ) ≡ 1 ( m o d m ) a^{\varphi(m)} \equiv 1 \pmod{m}
a φ ( m ) ≡ 1 ( m o d m )
其中 φ ( m ) \varphi(m) φ ( m ) 是欧拉函数,表示 1 1 1 到 m m m 中与 m m m 互素的正整数个数。
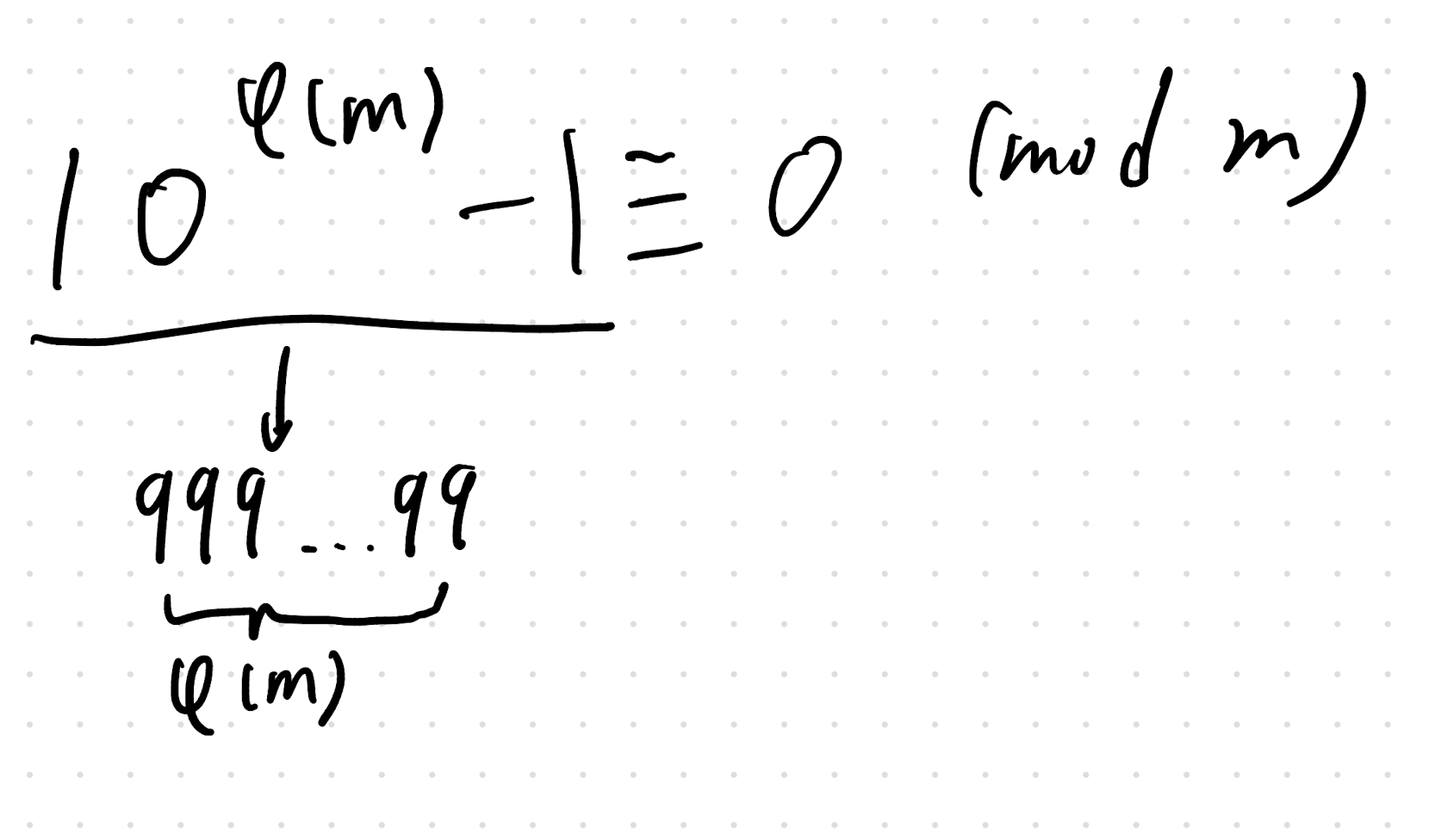
图中的结论就是把 a = 10 a = 10 a = 1 0 代入:因为已经去掉了 m m m 中 2 2 2 和 5 5 5 的因子,保证了 gcd ( 10 , m ) = 1 \gcd(10, m) = 1 g cd( 1 0 , m ) = 1 ,所以直接套用 Euler 定理得到 1 0 φ ( m ) ≡ 1 ( m o d m ) 10^{\varphi(m)} \equiv 1 \pmod{m} 1 0 φ ( m ) ≡ 1 ( m o d m ) 。
直觉上为什么成立 :考虑模 m m m 的缩系(即 1 1 1 到 m m m 中所有与 m m m 互素的数构成的集合 S S S ,共 φ ( m ) \varphi(m) φ ( m ) 个元素)。当 gcd ( a , m ) = 1 \gcd(a, m) = 1 g cd( a , m ) = 1 时,把 S S S 中每个元素都乘以 a a a ,得到的集合模 m m m 后恰好还是 S S S (因为乘以 a a a 是模 m m m 缩系上的一个双射)。于是把所有元素的乘积写出来:
∏ x ∈ S ( a x ) ≡ ∏ x ∈ S x ( m o d m ) \prod_{x \in S} (ax) \equiv \prod_{x \in S} x \pmod{m}
x ∈ S ∏ ( a x ) ≡ x ∈ S ∏ x ( m o d m )
左边提出 a a a :
a φ ( m ) × ∏ x ∈ S x ≡ ∏ x ∈ S x ( m o d m ) a^{\varphi(m)} \times \prod_{x \in S} x \equiv \prod_{x \in S} x \pmod{m}
a φ ( m ) × x ∈ S ∏ x ≡ x ∈ S ∏ x ( m o d m )
因为 ∏ x ∈ S x \prod_{x \in S} x ∏ x ∈ S x 与 m m m 互素(S S S 中每个元素都与 m m m 互素)(说白了,只要是除数和 m 互素,就有逆元,就可以除 ),可以两边消掉,就得到 a φ ( m ) ≡ 1 ( m o d m ) a^{\varphi(m)} \equiv 1 \pmod{m} a φ ( m ) ≡ 1 ( m o d m ) 。
它的特殊情况是 Fermat 小定理 :当 m = p m = p m = p 为素数时,φ ( p ) = p − 1 \varphi(p) = p - 1 φ ( p ) = p − 1 ,即 a p − 1 ≡ 1 ( m o d p ) a^{p-1} \equiv 1 \pmod{p} a p − 1 ≡ 1 ( m o d p ) 。
呃,首先我们还是一步一步来吧,就是首先,我们可以想到,就是 m 当中的这个因数还是越少越好嘛,想办法先消掉一些 。
下面这一步也是比较自然的,因为注意到,0 是永远都在的 。
我们可以把这个 m 当中的因数 2,5 给除掉(因为如果原数字不满足,就加 0 即可),得到的新 m 和这个 10 互质(反正应该就是想办法让原数和 10 互质,可以通过不断除以 10,记录一下除 10 的这个个数,最后 +0 即可)。
然后,就可以想到欧拉定理(其实我们的构造目标就是一个同余式,我们得到的任何东西,也要想办法化为同余式 ):
这是 Euler 定理 (欧拉定理)。
对于任意正整数 m m m 和整数 a a a ,若 gcd ( a , m ) = 1 \gcd(a, m) = 1 g cd( a , m ) = 1 ,则
a φ ( m ) ≡ 1 ( m o d m ) a^{\varphi(m)} \equiv 1 \pmod{m}
a φ ( m ) ≡ 1 ( m o d m )
不难得出如下结论:
我们现在是构出来了,但是万一 9 被扣了我们不就炸了?
我们发现,只要我们能够勾出来一个全 1 的,我们能够非常自然的勾出全 d 的。
这个最后一步,也挺难的,反正我确实不大能够推出来。使用了变量直接代换的这个技巧,把一个 9 带到了这个整除符号的两边。
1 2 3 4 5 6 7 8 9 10 11 12 13 14 15 16 17 18 19 20 21 ll cnt2=0 ; while (M%2 ==0 ) { M/=2 ; cnt2++; } ll cnt5=0 ; while (M%5 ==0 ) { M/=5 ; cnt5++; } ll phi=euler_phi (M); ll cnt0=max (cnt2,cnt5); if (cnt0==0 ) { cout<<1 <<"\n" ; }else { cout<<2 <<"\n" ; } cout<<*keys.rbegin ()<<" " <<9 *phi<<"\n" ; if (cnt0!=0 ) { cout<<0 <<" " <<cnt0<<"\n" ; }
AC代码
AC
https://codeforces.com/gym/106380/submission/366492238
源代码
1 2 3 4 5 6 7 8 9 10 11 12 13 14 15 16 17 18 19 20 21 22 23 24 25 26 27 28 29 30 31 32 33 34 35 36 37 38 39 40 41 42 43 44 45 46 47 48 49 50 51 52 53 54 55 56 57 58 59 60 61 62 63 64 65 66 67 68 69 70 71 72 73 74 75 76 77 78 79 80 81 82 83 84 85 86 87 88 89 90 91 92 93 94 95 96 97 98 99 100 101 102 103 104 105 106 107 108 109 110 111 112 113 114 115 116 117 118 119 120 121 122 123 124 125 126 127 128 129 130 131 132 133 134 135 136 137 138 #include <bits/stdc++.h> #define all(vec) vec.begin(),vec.end() #define lson(o) (o<<1) #define rson(o) (o<<1|1) #define SZ(a) ((long long) a.size()) #define debug(var) cerr << #var <<" = [" <<var<<"]" <<"\n" ; #define debug1d(a) \ cerr << #a << " = [" ; \ for (int i = 0; i < (int)(a).size(); i++) \ cerr << (i ? ", " : "" ) << a[i]; \ cerr << "]\n" ; #define debug2d(a) \ cerr << #a << " = [\n" ; \ for (int i = 0; i < (int)(a).size(); i++) \ { \ cerr << " [" ; \ for (int j = 0; j < (int)(a[i]).size(); j++) \ cerr << (j ? ", " : "" ) << a[i][j]; \ cerr << "]\n" ; \ } \ cerr << "]\n" ; #define cend cerr<<"\n-----------\n" #define fsp(x) fixed<<setprecision(x) using namespace std;using ll = long long ;using ull = unsigned long long ;using DB = double ;using i128 = __int128;using CD = complex<double >;static constexpr ll MAXN = (ll)1e6 +10 , INF = (1ll <<61 )-1 ;static constexpr ll mod = 998244353 ; static constexpr double eps = 1e-8 ;const double pi = acos (-1.0 );ll lT,testcase; long long euler_phi (long long n) { long long res = n; for (long long p = 2 ; p * p <= n; p++) { if (n % p == 0 ) { res = res / p * (p - 1 ); while (n % p == 0 ) n /= p; } } if (n > 1 ) { res = res / n * (n - 1 ); } return res; } void Solve () { ll M,N; cin >> M >> N; set<ll> keys={0 ,1 ,2 ,3 ,4 ,5 ,6 ,7 ,8 ,9 }; for (int i=1 ;i<=N;++i) { ll a; cin>>a; keys.erase (a); } if (SZ (keys)==1 ) { cout<<-1 <<"\n" ; return ; } ll cnt2=0 ; while (M%2 ==0 ) { M/=2 ; cnt2++; } ll cnt5=0 ; while (M%5 ==0 ) { M/=5 ; cnt5++; } ll phi=euler_phi (M); ll cnt0=max (cnt2,cnt5); if (cnt0==0 ) { cout<<1 <<"\n" ; }else { cout<<2 <<"\n" ; } cout<<*keys.rbegin ()<<" " <<9 *phi<<"\n" ; if (cnt0!=0 ) { cout<<0 <<" " <<cnt0<<"\n" ; } #ifdef LOCAL #endif } signed main () { ios::sync_with_stdio (false ); cin.tie (nullptr ); cout.tie (nullptr ); #ifdef LOCAL cout.setf (ios::unitbuf); #endif cin >> lT; for (testcase=1 ;testcase<=lT;++testcase) Solve (); return 0 ; }
心路历程(WA,TLE,MLE……)37 37 3 7 1 1 1 1 ≤ b ≤ 1 0 18 1 \le b \le 10^{18} 1 ≤ b ≤ 1 0 1 8